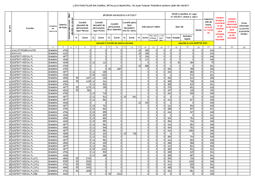
Curg sinecurile în administrația publică locală de la Făgăraș și în unitățile subordonate. Așa se face că angajatorii cei mai mari din municipiul Făgăraș sunt spitalul și primăria. În timp ce la Spitalul Municipal Făgăraș medicii tineri renunță în număr mare la funcții după ce dau față în față cu metehnele conducerii, infirmierele devin asistente medicale, iar asistentele medicale cu experiență care nu sunt pe placul șefilor sunt determinate să renunțe la posturi, așa cum spun ele. Conform site-ul Spitalului Municipal Făgăraș, în luna martie 2023, au fost 577 de funcții ocupate (foto), iar angajările continuă și în prezent. Numai că ultima hotărâre a CA de la Spitalul din Făgăraș arată că ar fi ocupate numai 465 posturi din totalul de 661 aprobate. Spitalul din Făgăraș este de grad IV și are 273 paturi pentru spitalizare continuă. Conform planului strategiei de dezvoltare remisă de conducerea spitalului spre aprobare în plenul CL Făgăraș de marți, 30 mai a.c, în anul 2020 din totalul angajaților 13,4% au fost medici, personal medical 62% din care cu studii superioare 25,7%. Rata de utilizare a paturilor din spital a fost de 46,68%, adică mai puțin de jumătate din capacitatea aprobată. În privința veniturilor spitalului, acestea sunt cheltuite în proporție de 67% pe salarii, în timp ce pentru medicamente se cheltuie numai 4,4% din venituri. În privința lefurilor, tot de pe site-ul spitalului se pot afla informații. Aflăm astfel că salariile de încadrare cele mai mari le au managerul și trei membri ai Consiliului de Administrație, nu mai puțin de 17.218 lei/lună/fiecare. (foto document) Asta în condițiile în care un membru CA, conform legii, ar trebui să încaseze cel mult 10% din leafa managerului. Dar cine împarte, parte își face, spune o vorbă românească. Și ne referim aici la managerul Pandrea Mihaela și membrii CA, Câju Mariana (președinte CA) Chichernea Nicoleta și Ciurea Mihaela, așa cum stipulează datele afișate pe site-ul spitalului. Și sporurile ce se acordă în spital se distribuie discreționar, spun unii angajați. Cel mai mare spor acordat este sporul Covid care se plătește și în prezent la anumiți angajați, manager, unii medici, director economic, contabil, jurist, unii asistenți medicali.
Sporurile îndestulează lefurile
Ce nu știu însă făgărășenii sunt salariile pe care le primesc angajații. Pe site-ul spitalului au fost publicate salariile angajaților din spital, invocându-se Legea 153/2017, respectiv salariile de încadrare la care se adaugă sporurile: de pericol (50-55%), psihic (12-35%), spor de tură, spor Covid, spor de noapte, spor pentru zilele declarate libere, indemnizația de hrană. Pe site-ul spitalului sunt trecute funcțiile fără numele persoanelor care le ocupă, fie ei medici, asistente, infirmiere, muncitori, etc.
Conducerea spitalului, generoasă cu propriile salarii
- Directorul financiar, Dorina Haneș, are un salariu de încadrare de 7.023 lei la care s-au adăugat, în luna martie, sporul Covid de 1.059 lei și indemnizația de hrană de 271 lei.
- Directorul medical este încadrat cu 16.394 lei la care s-au adăugat spor psihic de 1.105 lei, spor Covid de 3.075 lei și indemnizația de hrană de 346 lei.
- Un șef de birou are salariul de încadrare de 4.324 lei
- Un șef de secție, medic, are încadrarea de 15.626 lei.
- Șeful Serviciului juridic are încadrarea la 5.908 lei.
Un Consiliu de Administrație bine plătit
Membrii Consiliului de Administrație au fiecare, conform listei publicate pe site-ul spitalului, indemnizația de 17.218 lei fiecare. Conform declarațiilor de avere publicate pe site-ul spitalului sunt 3 membri în CA: Câju Mariana, Chichernea Nicoleta și Ciurea Mihaela, ultimele două reprezentând Direcția de Sănătate Publică Brașov.
- Conform declarației de avere depusă în iunie 2022 pentru anul 2021, Chichernea Nicoleta deține împreună cu soțul o casă în Hărman, 2 apartamente în Brașov, un autoturism Daewoo din 2004 și un WV din 2014. Are contract de muncă la DSP Brașov. Veniturile provin din contractul de muncă de la DSP Brașov de 136.351 lei însemnând 11.362 lei net/lună, servicii prestate la ProVitam Sf. Gheorghe ca medic laborator de 1.125 lei, membru CA la spitalul din Făgăraș 101 lei. Din chirii obține 38.200 lei.
- Ciurea Mihaela are contract de muncă la DSP Brașov cu un venit anual de 198.616 lei, însemnând un venit net de 16.551 lei/lună, o mașină WV din 2007. Informații valabile pentru anul 2021, publicate în iunie 2022.
- Câju Mariana, conform declarației de avere depusă la 14 iunie 2022 pentru 2021, deține 2 terenuri în Hărman, o casă în Hărman, un apartament în Mamaia, 2 case în Italia, un apartament în Italia, o mașină Nissan din 2019. Veniturile obținute în 2021 provin dintr-un contract de muncă la MAI de 51.098 lei, însemnând 4.258 lei/lună. Are două contracte de muncă, unul la Primăria Ploiești cu un venit anual (2021) de 26.269 lei, însemnând 1.189 lei/lună, și altul la Primăria Făgăraș (2021) de 43.728 lei însemnând 3.644 lei/lună. Nu se cunoaște ce servicii a prestat Câju la Primăria Făgăraș pentru respectivul venit lunar. Câju a mai încasat în 2021 indemnizații din consiliile de administrație de la Spitalul Făgăraș de 707 lei/lună, Spitalul de Pediatrie Ploiești de 824 lei/lună și de la Spitalul Ploiești de 1.081 lei/lună. Este acționar la SC Angipel SRL cu sediul în Hărman de unde a încasat, în 2021, dividente de 150.000 lei.
Salariile personalului medical
- Un asistent medical are un salariu de încadrare de la 4.622 la 6.319 lei. Cu sporurile adăugate, pentru unii asistenți medicali, venitul salarial se majorează substanțial.
- Asistentul social are o leafă de 4.577 lei și 5.957 lei la care se adaugă sporurile. Sunt 2 asistenți sociali angajați în spital.
- Autopsierul are o leafă de 5.361 lei. I se adaugă un spor de 2.447 lei plus 346 indemnizația de hrană, un total de 8.154 lei.
- Biologul are un salariu de încadrare de 4.543 lei, iar biochimistul are 7.213 lei/lună.
- Cei 8 brancardieri angajați în spital au fiecare un salariu de încarare de 3.188 lei la care se adaugă sporurile.
- Infirmiera este încadrată cu 3.299 lei- 3562 lei la care se adaugă sporurile. Sunt 59 de infirmiere angajate, conform site-ul spitalului.
Medicii au salarii formate din 5 cifre
- Medicul primar are un salariu de bază de 15.254 lei sau 16.017 lei la care se adaugă sporuri. Sunt 43 medici primari încadrați în spital. Sunt medici care, conform site-ul spitalului (nu este specificat numele), au încasat în luna martie 2023 un spor Covid de 8.700 lei sau spor psihic de 2.288 lei.
- Medicul specialist este încadrat cu o leafă de 12.519 lei la care se adaugă sporurile. Sunt 73 medici specialiști la spital.
- Medicul rezident este încadrat cu 9.788 lei/lună sau 8.240 lei/lună la care se adaugă sporuri. Sunt 9 medici rezidenți la spital.
Personal nemedical
- Consilierul juridic este încadrat cu 3.956 lei. Acesta a primit spor Covid în luna martie 2023 de 1290 lei, un spor de tură de 466 lei și indemnizație de hrană, 346 lei.
- Contabilul este încadrat cu 3.814. Sunt 2 contabili la spital.
- Economiștii de la spital sunt încadrați cu 3.401 lei (debutant) și cu 4.990 lei. Sunt 4 economiști, unul fiind debutant.
- Sunt 2 farmaciste angajate, una are salariul de încadrare 5.950lei, iar cealaltă 6.403 lei.
- Fiziokinetoterapeut, 2 persoane, cu salariul de încadrare de 5.535 lei și de 6.225 lei.
- Un funcționar AD-TIV are salariul de bază 3.416 lei.
- Magazinerul angajat la spital este încadrat cu 3.416 lei/lună.
- Instructorul ergoterapeut are un salariu de încadrare de 3.634 lei.
- Pentru referent de specialitate încadrarea este de 3.554 lei sau de 4.980 lei, plus sporuri. Sunt 12 referenți angajați.
- Cei 9 registratori medicali sunt încadrați fiecare cu 3.819 lei.
- Îngrijitorii, 43 persoane, sunt încadrați cu salarii de la 2.617 lei la 4.195 lei, la ultima categorie se adaugă spor de pericol de 1.699 lei și 331 lei indemnizația de hrană.
- Muncitorii, 24 persoane, au salariul de încadrare de 3.619 lei plus sporuri.
- Muncitorii necalificați, 18 persoane, au salariul de bază de 2.554 lei.
- Preotul este încadrat cu 4.065 lei plus un spor de 15%.
- Secretarul dactilograf are salariul de încadrare 3.110 lei
- Cei 4 șoferi sunt încadrați fiecare cu 3.587 lei
- Ca spălătorese sunt 5 angajate cu încadrarea la 3.084 lei fiecare
- Tehnicianul aparatură medicală are salarul de încadrare de 3.713 lei. (Lucia BAKI)

